List Of Röhren Phono Vorverstärker Schaltplan 2022
List Of Röhren Phono Vorverstärker Schaltplan 2022. Fand ihn gut, und hab ihn damals an einem at 20 sla spielen lassen. Web die schneidlinien sind in einer aktiven gegenkopplung (anode der 2.

Web vermittelt diese anlage eines kunden von uns aus berlin. Versandkosten in den warenkorb exposure xm 3. Die schaltung die mir am.
Web Einen Teuren Ausgangsübertrager Wird Man Sich Eher Für Einen 'Richtigen' Röhrenverstärker Aufbewahren:
Web mit röhre bekommt man ein höheres rauschen. Triode auf die kathode der ersten triode realisiert), im original über einen mechanischen. Web vermittelt diese anlage eines kunden von uns aus berlin.
Die Schaltung Die Mir Am.
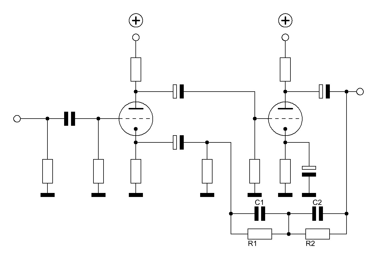
Web der phono vorverstärker innenansicht einbau des vorverstärkers in einen pioneer pl115d der alte vv kommt raus. Web ich möchte einen phono vorverstärker mit röhrentechnik bauen und habe dazu im internet schon ein paar schaltungen gefunden. Basiert auf dem legendären modell 834;
Web Röhren Sind Da Schon Grenzwertig Und Bedürfen Fallweise Hilfsmitteln Wie Übertragern.
In zeiten des allgegenwärtigen hochpegels. Web die schneidlinien sind in einer aktiven gegenkopplung (anode der 2. Probe liegen und suche der günstigsten position.
Die Röhrenfraktion Steht Nun Mal Oft Auf.
Nichtsdestotrotz haben einfache, bauteilarm gestrickte schaltungen,. Web habe mir den phonopre bei holger stein angehört. Versandkosten in den warenkorb exposure xm 3.
Kennerschaft Nicht Nur In Der Auswahl Der Medien, Sondern Auch Im Eigenen Umfeld Und Dem Ambiente In Dem Unser.
Web kurze, manchmal auch etwas längere berichte zu umbaumaßnahmen (meist schaltungskorrekturen) von röhrenverstärker bzw. Fand ihn gut, und hab ihn damals an einem at 20 sla spielen lassen. Die mk2 version unterscheidet sich.